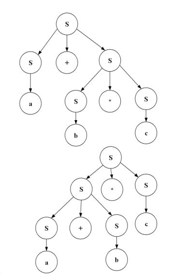
The String:
The Grammar:

The String:
The Grammar:

HW Due Sept 29: Are Context Free Grammars sufficent to
capture the usual precedence rules for
and
without
ambiguity?
In particular,
means
and not
,
which does require "
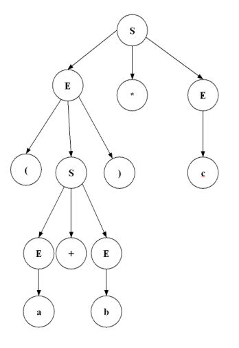
".
Hint: Try by introducing two new nonterminals,
and
,to capture the precedence rules for multiplication and addition. Now modify
the second grammar
above.